(23.03.18)
추후 더 자세히...... 작성할 예정
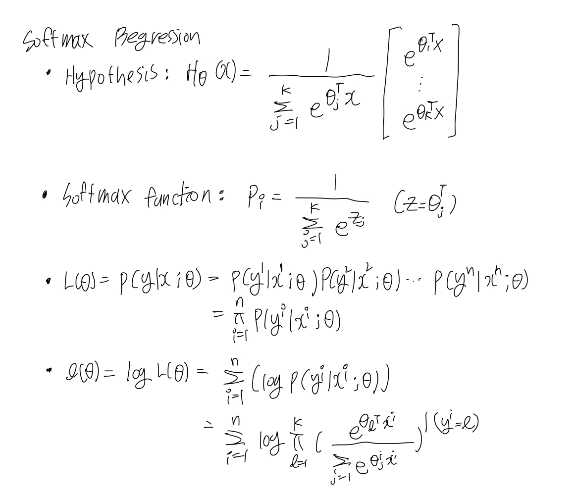
softmax regression
- softmax regression은 multi-class classification을 수행한다.
- logistic regression classifier를 각 class i에 대해서 학습시키고, y=i일 확률을 예측한다. 새로운 input x에 대해 h(x)를 최대화하는 i를 찾는다. 그러면, 이는 input x는 해당 class에 속한다고 예측하는 것이다.

728x90