(2021.10.07)
알고리즘 수업들으면서 정리하기 5탄
3주차 내용 끝!!
Divide-and-Conquer algorithms

Divide-and-conquer를 이용하여 merge sort의 T(n) 계산



proof by telescoping 은 수업시간에 했음 ↓↓↓↓↓↓↓↓


proof by induction on n 은 과제로 했음 ↓↓↓↓↓↓↓↓
(답이 맞는지는 아직 모름..)


Master Method for solving recurrences


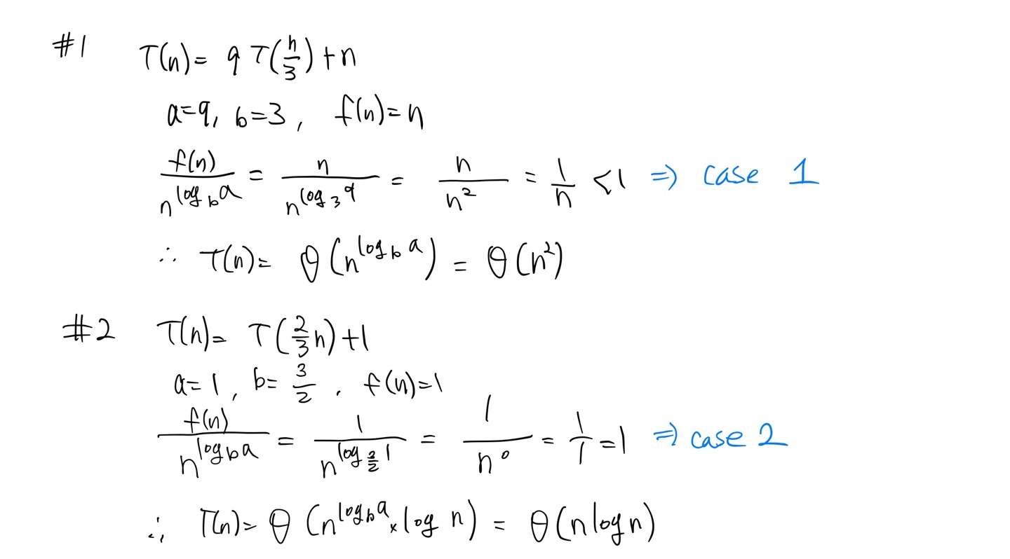
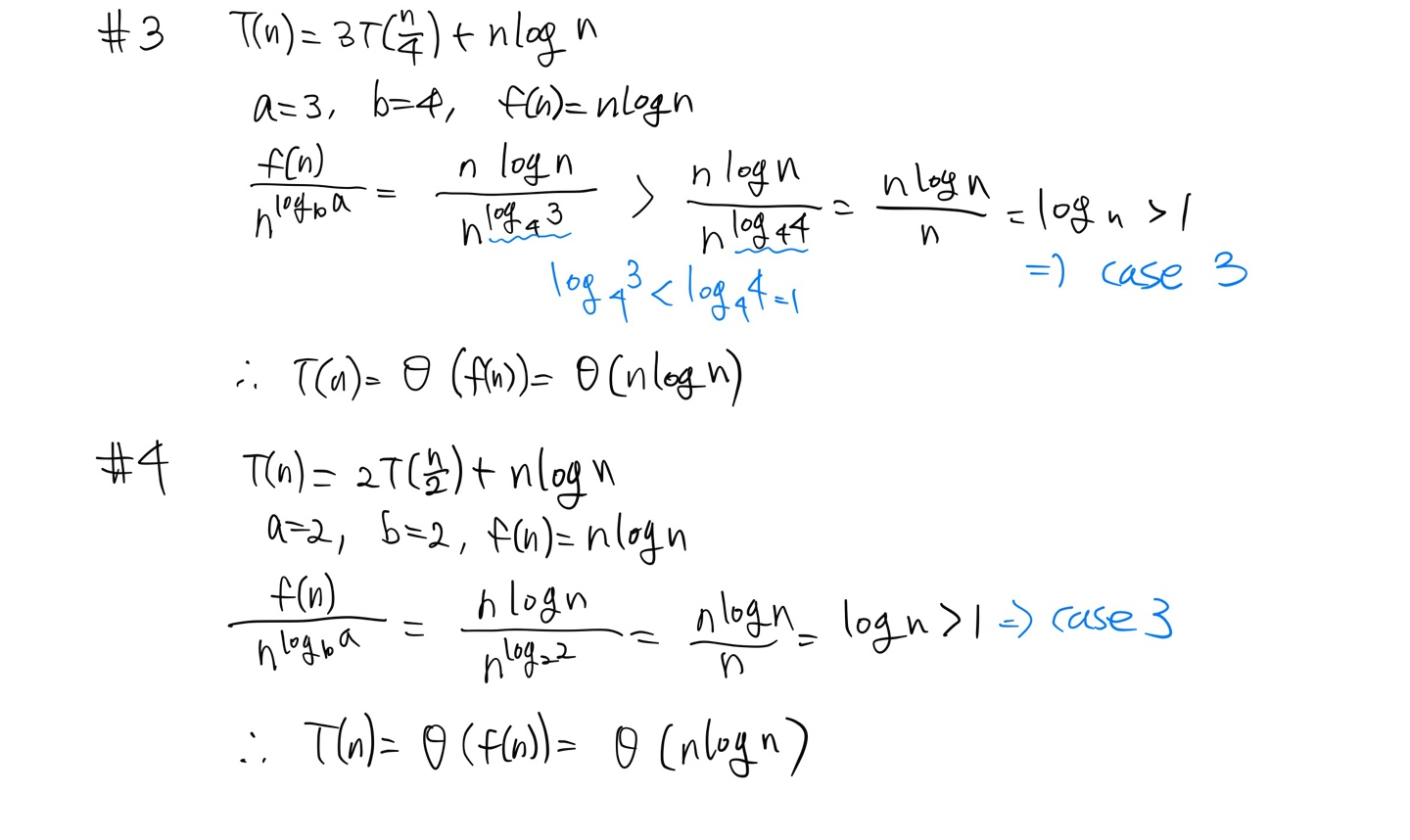
과제로 했던 master method 문제들 ↓↓↓↓↓↓↓↓


728x90
'Computer Science > algorithms' 카테고리의 다른 글
| [알고리즘] Maximum-subarray problem: 이해하기 (0) | 2021.10.09 |
|---|---|
| [알고리즘] Maximum-subarray problem: divide-and-conquer (0) | 2021.10.08 |
| [알고리즘] Merge sort: divide-and-conquer & loop invariants (0) | 2021.10.07 |
| [알고리즘] Asymptotic Notation (0) | 2021.10.07 |
| [알고리즘] insertion sort - loop invariants & runtime (0) | 2021.10.06 |