(2021.10.06)
알고리즘 수업들으면서 정리하기 3탄
3주차 내용
Asymptotic Notation (점근적 표기)
알고리즘의 런타임을 표기하기 위해서 highest-order term으로 정의하는 것을 점근적 표기라고 한다.
점근적 표기에는 세가지가 있다.
- Big O: 상한선 제시 - upper bound
- Big Omega: 하한선 제시 - lower bound
- Big Theta: 상한선과 하한선 둘다 제시
(Big O는 Big theta로 표기가능하지만, Big theta는 Big O로 표기할 수 없음 - 교수님 왕강조)
Big O
--> 상한선 제시 : upper bound


Big Omega
--> 하한선 제시 : lower bound
--> BEST case performance를 얘기할 때 주로 사용함.


Big Theta
--> asymptotically tight bound


그래서 앞에서 계산했던
insertion sort의 Best 런타임이 하한선이 되어 오메가(n)으로 표기하고,
insertion sort의 Worst 런타임이 상한선이 되어 O(n^2)으로 표기하는 것이었다!!
(사실 이거 안적어서 과제에서 점수 깎임)
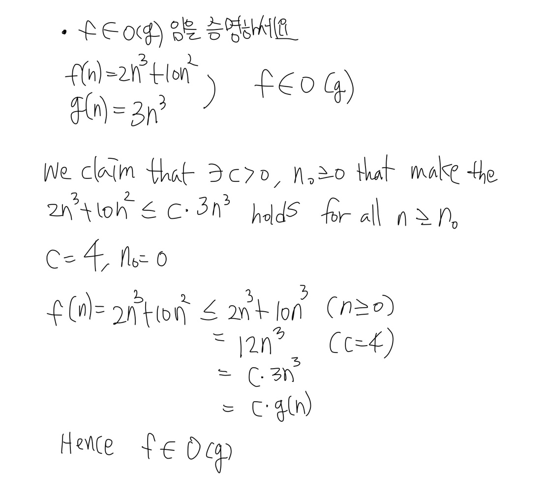
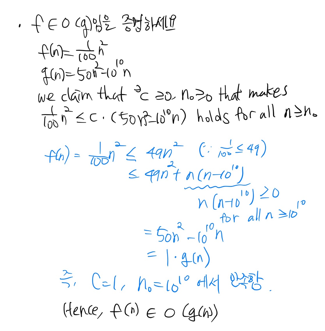
과제로 했던 계산문제들 ↓↓↓↓↓↓↓
여기서 주의할 점: c는 양의 실수, n0는 0포함하여 자연수여야함


↓↓↓↓↓↓↓ 제일 어려웠던 문제 ↓↓↓↓↓↓↓


728x90
'Computer Science > algorithms' 카테고리의 다른 글
| [알고리즘] Maximum-subarray problem: divide-and-conquer (0) | 2021.10.08 |
|---|---|
| [알고리즘] Divide-and-Conquer algorithms & master method for solving recurrences (0) | 2021.10.07 |
| [알고리즘] Merge sort: divide-and-conquer & loop invariants (0) | 2021.10.07 |
| [알고리즘] insertion sort - loop invariants & runtime (0) | 2021.10.06 |
| [알고리즘] insertion sort - 작동원리 (1) | 2021.10.06 |