(2021.11.23)
알고리즘 수업들으면서 정리하기 21탄
w12-2 녹강, w12-3 녹강, w13-1 실강
maximum flow, network flow 내용이다.
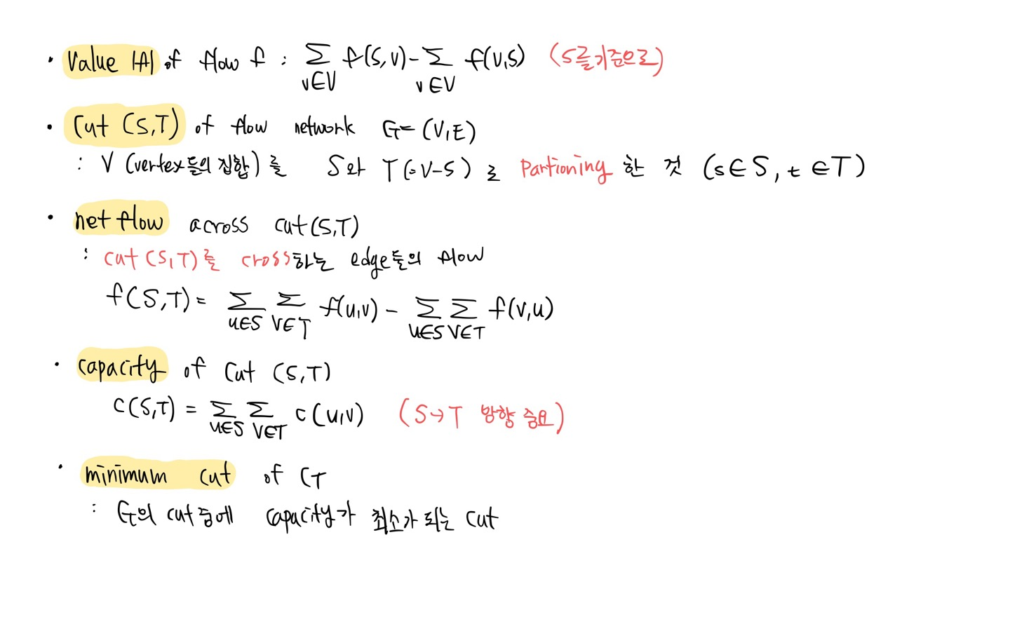
Flow network

Maximum-flow problem
: flow network G가 주어지고, source s, target t, capacity c 가 주어질 때, value가 최대인 flow를 찾는 문제



Max-flow min-cut theorem
: max-flow의 값과 min-cut의 값이 같다.
The Ford-Fulkerson method
The Ford-Fulkerson method가 the maximum-flow problem을 해결한다.
input: a flow network G, source s, target t, capacity c
output: a flow whodse value is maximum
The Ford-Fulkerson method는 Residual networks를 사용한다.
> augmenting path를 찾으며 flow 값을 증가시킨다.
> residual network에 더이상 augemting path가 없을 때까지 flow 값을 증가시킨다.
Residual networks
> residual capacity 정의





진행 과정



flow 값 없이 capacity만 나와있는 경우에서의 진행 상황



Performance of Ford-Fulkerson
finding augmenting path p: O(V+2E)=O(E) (by DFS, BFS)
total Ford-Fulkerson running time: O(E|f*|)
'Computer Science > algorithms' 카테고리의 다른 글
| [알고리즘] NP-Completeness : computational complexity, turing machine (0) | 2021.12.01 |
|---|---|
| [알고리즘] N-Queens problem : backtracking algorithm (0) | 2021.11.30 |
| [알고리즘] Minimum Spanning Tree : Generic algorithms & Prim algorithms (3) | 2021.11.17 |
| [알고리즘] Network flow : BFS & DFS (0) | 2021.11.12 |
| [알고리즘] Huffman codes : greedy algorithm (0) | 2021.11.08 |
