(23.03.13)
algorithms S. Dasgupta, C. H. Papadimitriou, and U. V. Vazirani (2008) 책 읽고 정리하기
http://algorithmics.lsi.upc.edu/docs/Dasgupta-Papadimitriou-Vazirani.pdf
정리한 내용
3.1 why graphs?
3.2 Depth-fist search in undirected graphs
3.3 Depth-first search in directed graphs



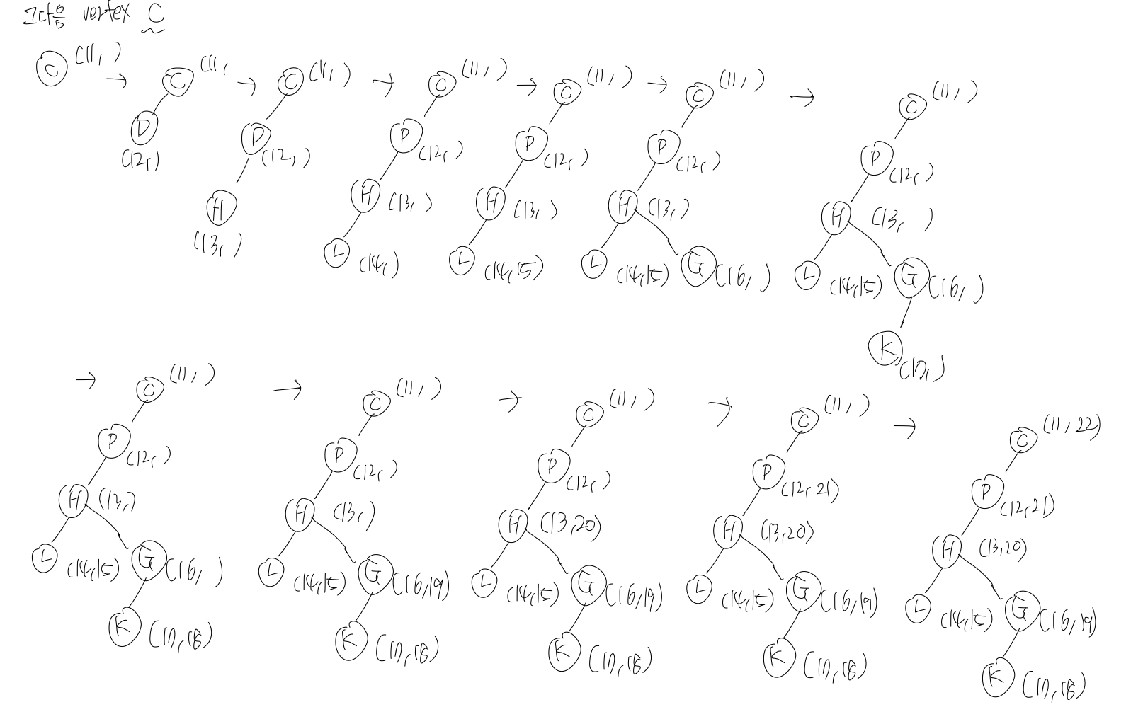
Depth-first search in undirected graphs

예시 풀이 과정



Depth-first search in directed graphs



예시 풀이 과정

728x90